68.1K 3 weeks ago

DeepSeek-V4-Pro is a frontier Mixture-of-Experts model with a 1M-token context window and three reasoning modes.

tools thinking cloud
Usage
extra high
Context
1M tokens
Size
1.6T parameters
ollama run deepseek-v4-pro:cloud

Applications

Claude Code
Claude Code ollama launch claude --model deepseek-v4-pro:cloud
Codex App
Codex App ollama launch codex-app --model deepseek-v4-pro:cloud
OpenClaw
OpenClaw ollama launch openclaw --model deepseek-v4-pro:cloud
Hermes Agent
Hermes Agent ollama launch hermes --model deepseek-v4-pro:cloud
Codex
Codex ollama launch codex --model deepseek-v4-pro:cloud
OpenCode
OpenCode ollama launch opencode --model deepseek-v4-pro:cloud

Models

View all →

Readme

DeepSeek-V4-Pro is the flagship model in the DeepSeek-V4 series — a Mixture-of-Experts model with 1.6T total parameters and 49B activated, built for frontier-level reasoning across a 1M-token context window.

3 Thinking modes:

  • No thinking: used for fast, intuitive answers
  • Thinking: used for careful logical analysis
  • Max thinking: maximum reasoning effort on the hardest problems benchmark
Benchmark (Metric) V4-Flash Non-Think V4-Flash High V4-Flash Max V4-Pro Non-Think V4-Pro High V4-Pro Max
Knowledge & Reasoning
MMLU-Pro (EM) 83.0 86.4 86.2 82.9 87.1 87.5
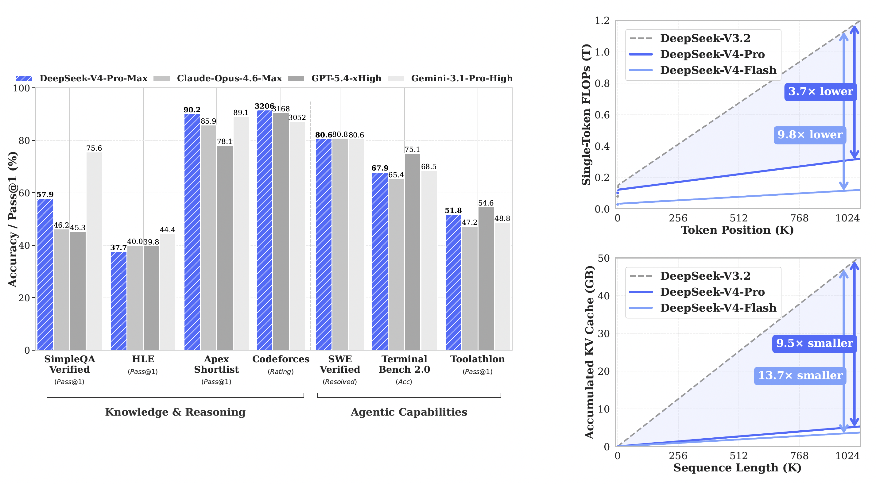
SimpleQA-Verified (Pass@1) 23.1 28.9 34.1 45.0 46.2 57.9
Chinese-SimpleQA (Pass@1) 71.5 73.2 78.9 75.8 77.7 84.4
GPQA Diamond (Pass@1) 71.2 87.4 88.1 72.9 89.1 90.1
HLE (Pass@1) 8.1 29.4 34.8 7.7 34.5 37.7
LiveCodeBench (Pass@1) 55.2 88.4 91.6 56.8 89.8 93.5
Codeforces (Rating) - 2816 3052 - 2919 3206
HMMT 2026 Feb (Pass@1) 40.8 91.9 94.8 31.7 94.0 95.2
IMOAnswerBench (Pass@1) 41.9 85.1 88.4 35.3 88.0 89.8
Apex (Pass@1) 1.0 19.1 33.0 0.4 27.4 38.3
Apex Shortlist (Pass@1) 9.3 72.1 85.7 9.2 85.5 90.2
Long Context
MRCR 1M (MMR) 37.5 76.9 78.7 44.7 83.3 83.5
CorpusQA 1M (ACC) 15.5 59.3 60.5 35.6 56.5 62.0
Agentic
Terminal Bench 2.0 (Acc) 49.1 56.6 56.9 59.1 63.3 67.9
SWE Verified (Resolved) 73.7 78.6 79.0 73.6 79.4 80.6
SWE Pro (Resolved) 49.1 52.3 52.6 52.1 54.4 55.4
SWE Multilingual (Resolved) 69.7 70.2 73.3 69.8 74.1 76.2
BrowseComp (Pass@1) - 53.5 73.2 - 80.4 83.4
HLE w/ tools (Pass@1) - 40.3 45.1 - 44.7 48.2
MCPAtlas (Pass@1) 64.0 67.4 69.0 69.4 74.2 73.6
GDPval-AA (Elo) - - 1395 - - 1554
Toolathlon (Pass@1) 40.7 43.5 47.8 46.3 49.0 51.8

Reference

DeepSeek-V4 technical report